L'OFFERTA SCADE TRA
❌QUESTO

Libri troppo dispersivi, appunti online confusi e sbobine infinite piene di trascrizioni poco chiare
✔️IN QUESTO

Dispense illustrate, chiare, complete e scientificamente accurate per preparare l'esame velocemente e senza stress
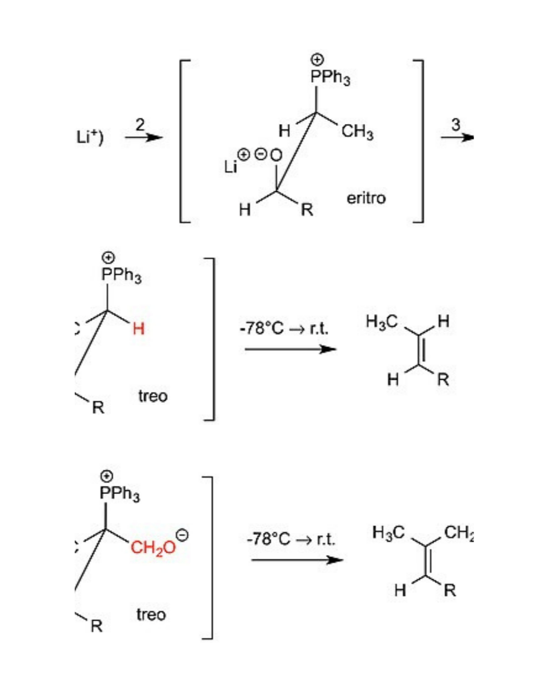
✔️CON I NOSTRI SCHEMI ORIZZONTALI

✅I Nostri Schemi Orizzontali sono
Chiari: Tutto è organizzato in modo semplice e comprensibile.
Rapidi: Favoriscono una memorizzazione e comprensione immediata.
Ordinati: Strutturati in modo logico e fluido.
La dispensa e gli schemi che ti guidano passo passo all’esame

Pagine semplificate, schematizzate e illustrate con schemi orizzontali per memorizzare le reazioni
Teoria completa spiegata in modo chiaro ed essenziale ed esercizi spiegati step by step

Color code intuitivo
Non un semplice PDF in bianco e nero. Le nostre dispense sono organizzate con un sistema di colori studiato per farti memorizzare più velocemente

Layout a due colonne
Ogni pagina è organizzata su due colonne, questo ti permette di assimilare informazioni più rapidamente e ridurre lo stress visivo, facilitando la concentrazione e la memorizzazione.
Dentro la dispensa trovi tutto questo
Atomo: protoni, neutroni, elettroni
Isotopi
Tavola periodica
Orbitali (s, p)
Configurazione elettronica
Regola dell’ottetto
Strutture di Lewis
Tipi di legame (ionico, covalente, sigma, pi-greco)
Risonanza e frecce curve
Definizione Brønsted–Lowry
Definizione Lewis
pKa e forza acida
Stabilità della base coniugata
Effetti: elemento, induttivo, risonanza, ibridazione
Reazioni acido–base
Gruppi funzionali
Idrocarburi
Composti C–Z
Composti carbonilici
Forze intermolecolari: Van der Waals, dipolo–dipolo, H-bond
Proprietà fisiche: PF, PE, solubilità
Struttura e classificazione (aciclici/ciclici)
Isomeri costituzionali
Classificazione dei carboni (1°, 2°, 3°, 4°)
Nomenclatura IUPAC dei sostituenti
Nomenclatura alcani e cicloalcani
Isomeria cis/trans negli anelli
Tipi di isomeri
Molecole chirali/achirali
Centri stereogenici
Regole R/S
Enantiomeri e diastereoisomeri
Struttura
Reattività
Regola di Markovnikov
Addizioni elettrofile
Idrogenazione, idroalogenazione, idratazione, ecc.
Formazione dei radicali
Omolisi
Reazioni a catena
Alogenazione radicalica
Addizioni elettrofile varie
Riduzioni
Ossidazioni
Struttura
Stabilità
Reazioni tipiche
Nitratura
Alogenazione
Solfonazione
Effetto dei sostituenti (attivanti/disattivanti, orto/para/meta)
Proprietà
Reattività
Preparazione
Proprietà
Preparazione
Reattività
Proprietà e classificazione
Basicità
Reazioni tipiche
Proprietà
Reazioni nucleofile
Reazioni di Aldeidi e Chetone
Addizione nucleofila
Reazioni con reagenti organometallici
Reazioni di ossidazione e riduzione
Acidità
Sostituzione aromatica
Acidi, esteri, ammidi, cloruri acilici, anidridi
Proprietà
Reattività
Sostituzione nucleofila acilica
Trasformazioni tra derivati
Dietro le nostre dispense c’è un team di professionisti

Dietro ogni PDF, ogni mappa concettuale e ogni schema Smarter c’è un team di professionisti italiani con anni di esperienza nello studio universitario e nella didattica.
Non sono semplici creatori di contenuti: sono docenti, preparatori ed ex studenti top che hanno passato le stesse sfide che oggi affronti tu.
Ogni materiale è progettato con un unico obiettivo: semplificare il tuo studio, farti risparmiare tempo prezioso e portarti a superare l’esame con sicurezza.
Non troverai pagine superflue o dettagli inutili: tutto è organizzato in modo chiaro, logico e immediato da consultare.
Il nostro approccio è collaudato: centinaia di studenti ogni mese utilizzano i nostri PDF e le mappe concettuali per prepararsi, e oltre 2000 studenti hanno già superato l'esame grazie al nostro metodo.

Per chi sono adatte queste dispense?
Studenti universitari che frequentano
biologia/biotecnologie/agraria/scienze naturali
scienze motorie/scienze dell'alimentazione
medicina e tutte le professioni sanitarie /veterinaria
farmacia/chimica/ctf
ingegneria chimica e affini
DISPENSE COMPLETE PDF DI CHIMICA ORGANICA
Accesso immediato al materiale digitale PDF
Area riservata esclusiva per i membri SmarterFE
Acquisto 100% sicuro e garantito
216 Pagine di Dispense Illustrate e Semplificate Valore: 77,99€
Schemi per memorizzare le reazioni velocemente Valore: 24,99€
*Offerta valida solo fino allo scadere del timer
Valore totale : 102,99€
€ 35,99
(risparmi 67€
oggi)
Hai delle domande? Noi abbiamo le risposte.
Studenti universitari che frequentano
biologia/biotecnologie/agraria/scienze naturali
scienze motorie/scienze dell'alimentazione
medicina e tutte le professioni sanitarie /veterinaria
farmacia/chimica/ctf
ingegneria chimica e affini
No: i libri rimangono la fonte ufficiale. Le nostre dispense sono riassunti pratici, schematici e ragionati che ti permettono di studiare più velocemente e arrivare preparato all’esame senza perdere tempo.
Sì, ti arriva via mail entro pochi minuti dalla registrazione. Controlla anche lo spam se non lo vedi.
Sì: le dispense coprono tutti i concetti fondamentali della materia. In più, grazie alla struttura schematica, puoi aggiungere facilmente appunti personali su argomenti particolari richiesti dal tuo docente.
Certo! Puoi scaricare il PDF e stamparlo per creare i tuoi quaderni cartacei personalizzati.
Sono realizzate da un team di esperti italiani (ricercatori, medici e professionisti delle scienze) con esperienza sia accademica che pratica.
© 2026 ONSPEKT LTD – Tutti i diritti riservati
Società di diritto cipriota
Sede legale: Strovolou 77, Strovolos Center, Flat/Office 301,
2018 Nicosia – Cipro
Download Your Free Copy
We HATE spam. Your email address is 100% secure